
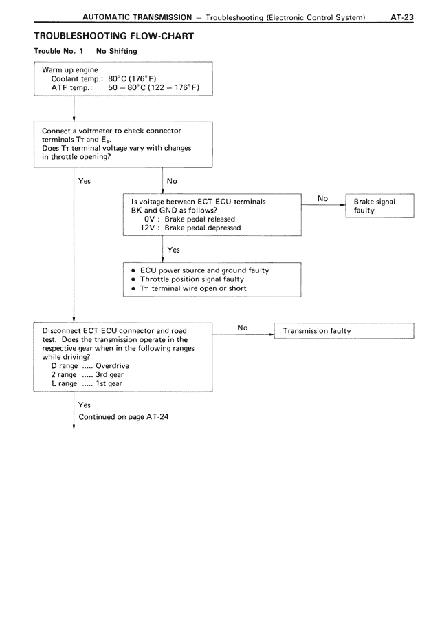
TROUBLESHOOTING FLOW-CHART
Trouble No. 1 No Shifting
Warm up engine
Coolant temp.: 80°C (176°F)
ATF temp.: 50 – 80°C (122 – 176°F)
|
v
Connect a voltmeter to check connector
terminals T1 and E1.
Does T1 terminal voltage vary with changes
in throttle opening?
Yes No
| |
v v
Is voltage between ECT ECU terminals No ——> Brake signal
BK+ and BK– as follows? faulty
0V : Brake pedal released
12V : Brake pedal depressed
|
Yes
|
v
• ECU power source and ground faulty
• Throttle position signal faulty
• T1 terminal wire open or short
|
v
Disconnect ECT ECU connector and road No ——> Transmission faulty
test. Does the transmission operate in the
respective gear when in the following ranges
while driving?
D range ..... Overdrive
2 range ..... 3rd gear
L range ..... 1st gear
Yes
Continued on page AT-24
|
v