
BE-72
BODY ELECTRICAL SYSTEM — Cruise Control System
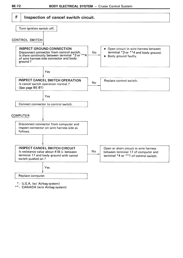
F
Inspection of cancel switch circuit.
Turn ignition switch off.
CONTROL SWITCH
INSPECT GROUND CONNECTION
Disconnect connector from control switch
and check continuity between terminal *3 or **4
of wire harness side connector and body
ground?
No
• Open circuit in wire harness between
terminal *3 or **4 and body ground.
• Body ground faulty.
Yes
INSPECT CANCEL SWITCH OPERATION
Is cancel switch operation normal?
(See page BE-81)
No
Replace control switch.
Yes
Connect connector to control switch.
COMPUTER
Disconnect connector from computer and
inspect connector on wire harness side as
follows.
INSPECT CANCEL SWITCH CIRCUIT
Is resistance value about 418Ω between
terminal 17 and body ground with cancel
switch pushed on?
No
Open or short circuit in wire harness
between terminal 17 of computer and
terminal *4 or **1 of control switch.
Yes
Replace computer.
*: U.S.A. (w/ Airbag system)
**: CANADA (w/o Airbag system)