
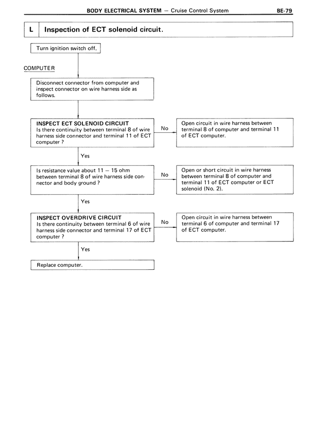
L Inspection of ECT solenoid circuit.
Turn ignition switch off.
COMPUTER
Disconnect connector from computer and
inspect connector on wire harness side as
follows.
INSPECT ECT SOLENOID CIRCUIT
Is there continuity between terminal 8 of wire
harness side connector and terminal 11 of ECT
computer?
No Open circuit in wire harness between
terminal 8 of computer and terminal 11
of ECT computer.
Yes
Is resistance value about 11 — 15 ohm
between terminal 8 of wire harness side con-
nector and body ground?
No Open or short circuit in wire harness
between terminal 8 of computer and
terminal 11 of ECT computer or ECT
solenoid (No. 2).
Yes
INSPECT OVERDRIVE CIRCUIT
Is there continuity between terminal 6 of wire
harness side connector and terminal 17 of ECT
computer?
No Open circuit in wire harness between
terminal 6 of computer and terminal 17
of ECT computer.
Yes
Replace computer.