
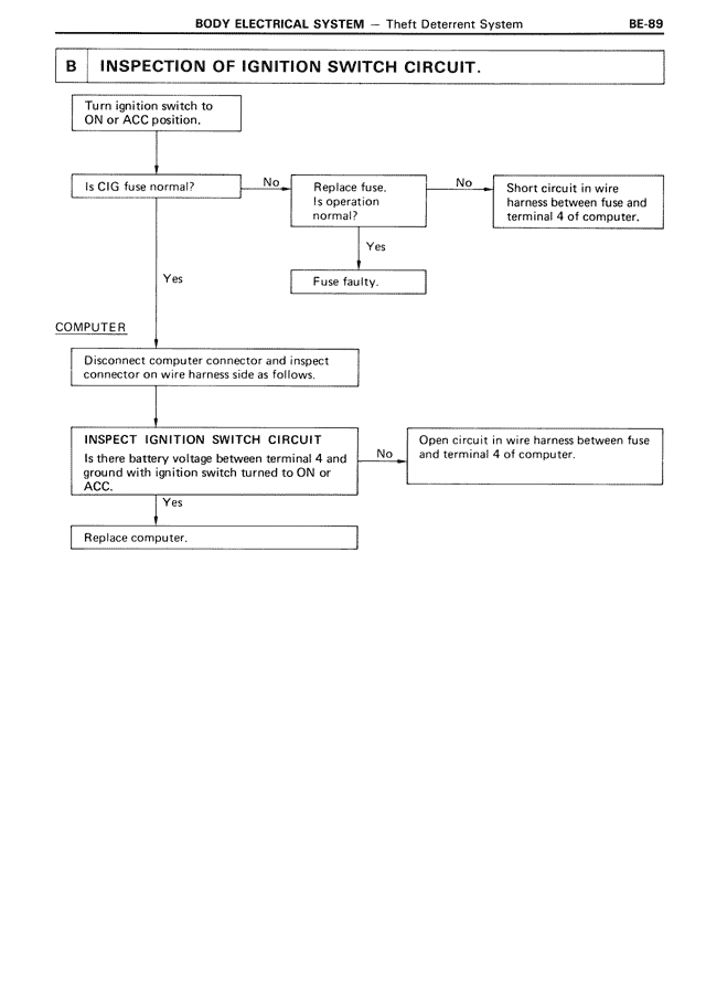
B INSPECTION OF IGNITION SWITCH CIRCUIT.
Turn ignition switch to
ON or ACC position.
Is CIG fuse normal?
No → Replace fuse.
Is operation
normal?
No → Short circuit in wire
harness between fuse and
terminal 4 of computer.
Yes ↓
Yes → Fuse faulty.
COMPUTER
Disconnect computer connector and inspect
connector on wire harness side as follows.
INSPECT IGNITION SWITCH CIRCUIT
Is there battery voltage between terminal 4 and
ground with ignition switch turned to ON or
ACC.
No → Open circuit in wire harness between fuse
and terminal 4 of computer.
Yes ↓
Replace computer.