
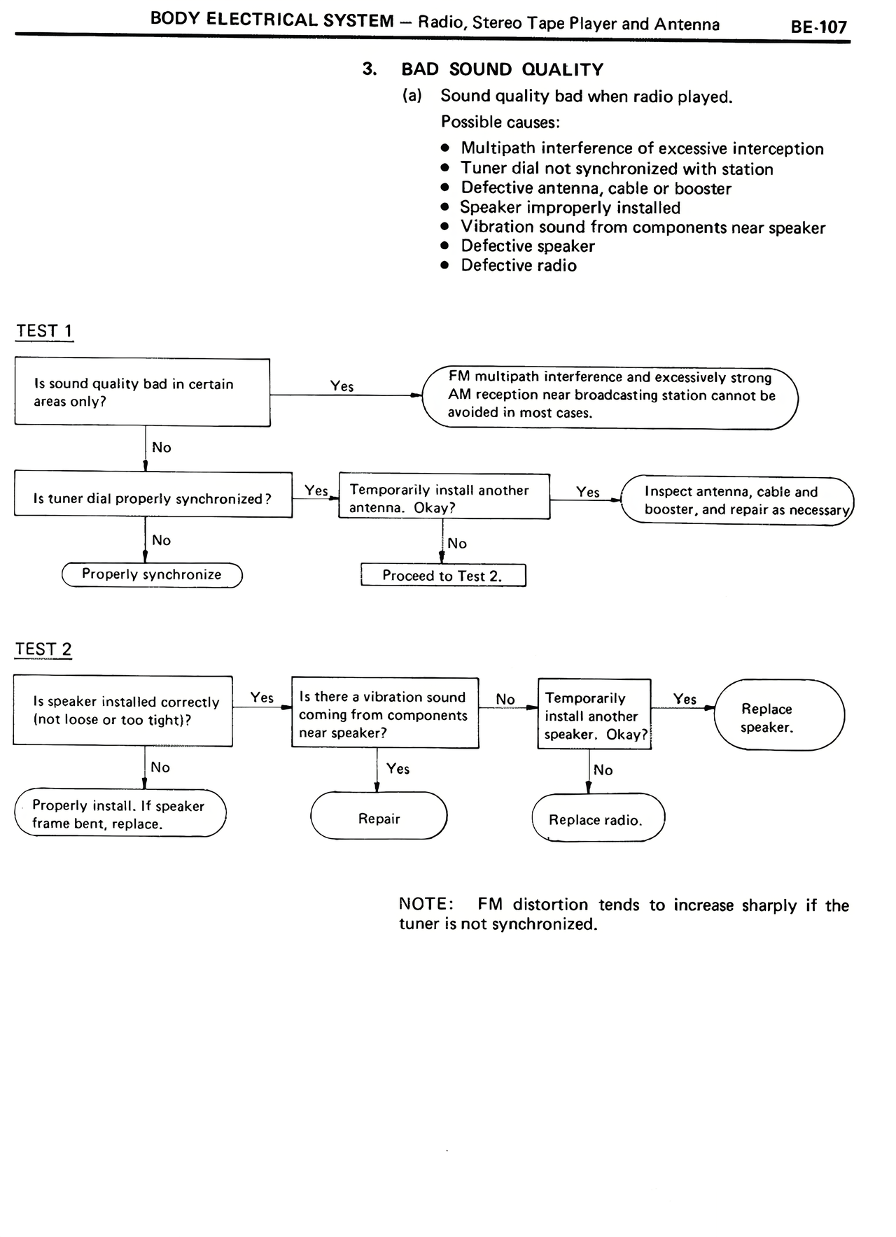
3. BAD SOUND QUALITY
(a) Sound quality bad when radio played.
Possible causes:
• Multipath interference of excessive interception
• Tuner dial not synchronized with station
• Defective antenna, cable or booster
• Speaker improperly installed
• Vibration sound from components near speaker
• Defective speaker
• Defective radio
TEST 1
Is sound quality bad in certain
areas only?
Yes → FM multipath interference and excessively strong AM reception near broadcasting station cannot be avoided in most cases.
No ↓
Is tuner dial properly synchronized?
Yes → Temporarily install another antenna. Okay? → Yes → Inspect antenna, cable and booster, and repair as necessary
No ↓ No ↓
Properly synchronize Proceed to Test 2.
TEST 2
Is speaker installed correctly
(not loose or too tight)?
Yes → Is there a vibration sound coming from components near speaker? → No → Temporarily install another speaker. Okay? → Yes → Replace speaker.
No ↓ Yes ↓ No ↓
Properly install. If speaker Repair Replace radio.
frame bent, replace.
NOTE: FM distortion tends to increase sharply if the tuner is not synchronized.