
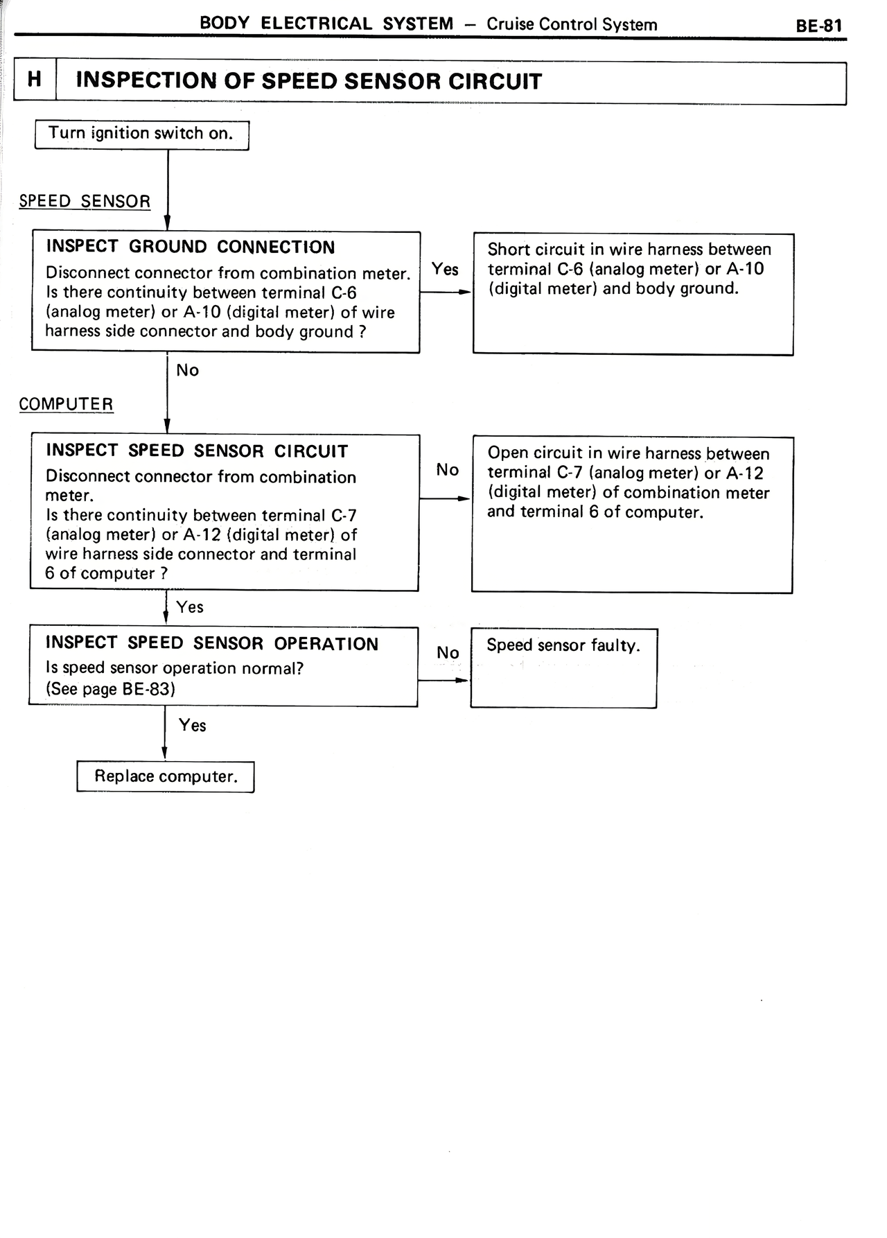
H
INSPECTION OF SPEED SENSOR CIRCUIT
Turn ignition switch on.
SPEED SENSOR
INSPECT GROUND CONNECTION
Disconnect connector from combination meter.
Is there continuity between terminal C-6
(analog meter) or A-10 (digital meter) of wire
harness side connector and body ground?
Yes → Short circuit in wire harness between terminal C-6 (analog meter) or A-10 (digital meter) and body ground.
No ↓
COMPUTER
INSPECT SPEED SENSOR CIRCUIT
Disconnect connector from combination
meter.
Is there continuity between terminal C-7
(analog meter) or A-12 (digital meter) of
wire harness side connector and terminal
6 of computer?
No → Open circuit in wire harness between terminal C-7 (analog meter) or A-12 (digital meter) of combination meter and terminal 6 of computer.
Yes ↓
INSPECT SPEED SENSOR OPERATION
Is speed sensor operation normal?
(See page BE-83)
No → Speed sensor faulty.
Yes ↓
Replace computer.