
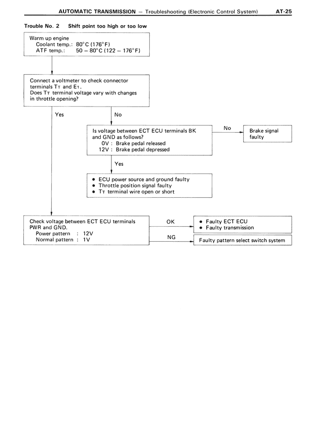
Trouble No. 2 Shift point too high or too low
Warm up engine
Coolant temp.: 80°C (176°F)
ATF temp.: 50 – 80°C (122 – 176°F)
|
↓
Connect a voltmeter to check connector
terminals T↑ and E₁.
Does T↑ terminal voltage vary with changes
in throttle opening?
Yes No
| |
| ↓
| Is voltage between ECT ECU terminals BK No → Brake signal
| and GND as follows? faulty
| OV : Brake pedal released
| 12V : Brake pedal depressed
| |
| Yes
| |
| ↓
| • ECU power source and ground faulty
| • Throttle position signal faulty
| • T↑ terminal wire open or short
|
↓
Check voltage between ECT ECU terminals OK → • Faulty ECT ECU
PWR and GND. • Faulty transmission
Power pattern : 12V
Normal pattern : 1V NG → Faulty pattern select switch system