
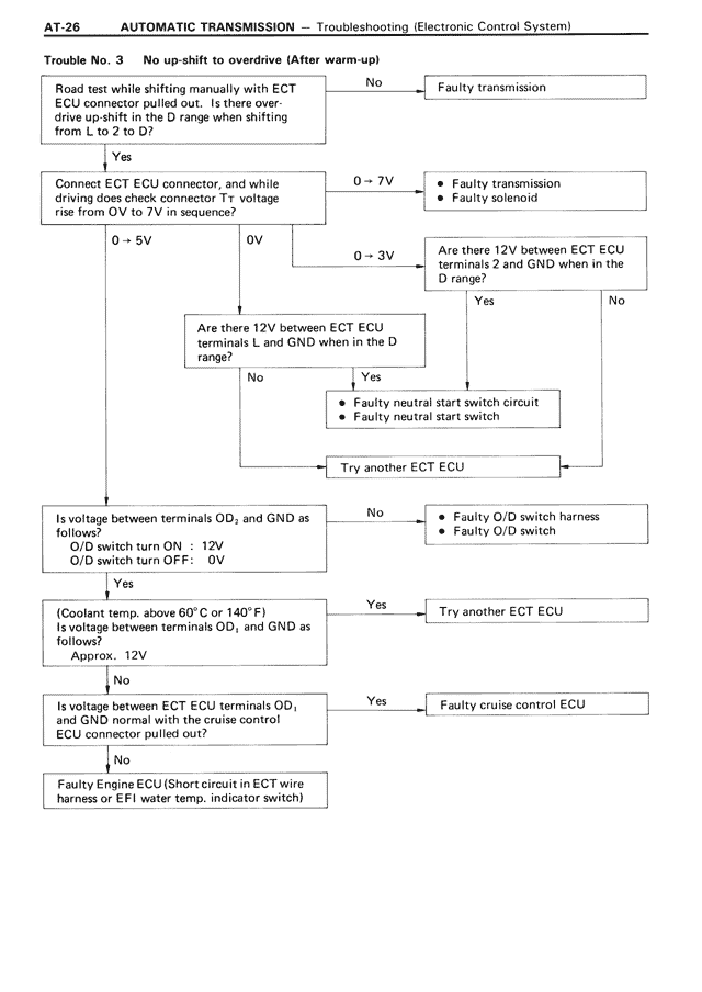
AT-26 AUTOMATIC TRANSMISSION — Troubleshooting (Electronic Control System)
Trouble No. 3 No up-shift to overdrive (After warm up)
Road test while shifting with ECT
ECU connector pulled out. Is there over-
drive up-shift in the D range when shifting
from L to 2 to D?
Yes → No → Faulty transmission
Connect ECT ECU connector, and while
driving does check connector Tt voltage
rise from 0 V to 7 V in sequence?
0 ~ 7V → • Faulty transmission
• Faulty solenoid
0V
0 ~ 5V
0 ~ 3V → Are there 12V between ECT ECU
terminals 2 and GND when in the
D range?
Yes → No
Are there 12V between ECT ECU
terminals L and GND when in the D
range?
No → Yes → • Faulty neutral start switch circuit
• Faulty neutral start switch
Try another ECT ECU
Is voltage between terminals OD+ and GND as
follows?
O/D switch turn ON : 12V
O/D switch turn OFF: 0V
No → • Faulty O/D switch harness
• Faulty O/D switch
Yes
(Coolant temp. above 60°C or 140°F)
Is voltage between terminals OD+ and GND as
follows?
Approx. 12V
Yes → Try another ECT ECU
No
Is voltage between ECT ECU terminals OD+
and GND normal with the cruise control
ECU connector pulled out?
Yes → Faulty cruise control ECU
No
Faulty Engine ECU (Short circuit in ECT wire
harness or EFI water temp. indicator switch)