
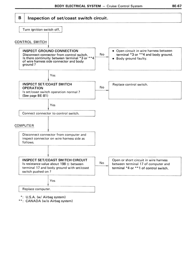
B Inspection of set/coast switch circuit.
Turn ignition switch off.
CONTROL SWITCH
INSPECT GROUND CONNECTION
Disconnect connector from control switch.
Is there continuity between terminal *3 or **4
of wire harness side connector and body
ground?
No
• Open circuit in wire harness between
terminal *3 or **4 and body ground.
• Body ground faulty.
Yes
INSPECT SET/COAST SWITCH
OPERATION
Is set/coast switch operation normal?
(See page BE-81)
No
Replace control switch.
Yes
Connect connector to control switch.
COMPUTER
Disconnect connector from computer and
inspect connector on wire harness side as
follows:
INSPECT SET/COAST SWITCH CIRCUIT
Is resistance value about 198 Ω between
terminal 17 and body ground with set/coast
switch pushed on?
No
Open or short circuit in wire harness
between terminal 17 of computer and
terminal *4 or **1 of control switch.
Yes
Replace computer.
*: U.S.A. (w/ Airbag system)
**: CANADA (w/o Airbag system)