
FI-120
EFI SYSTEM — Electronic Control System
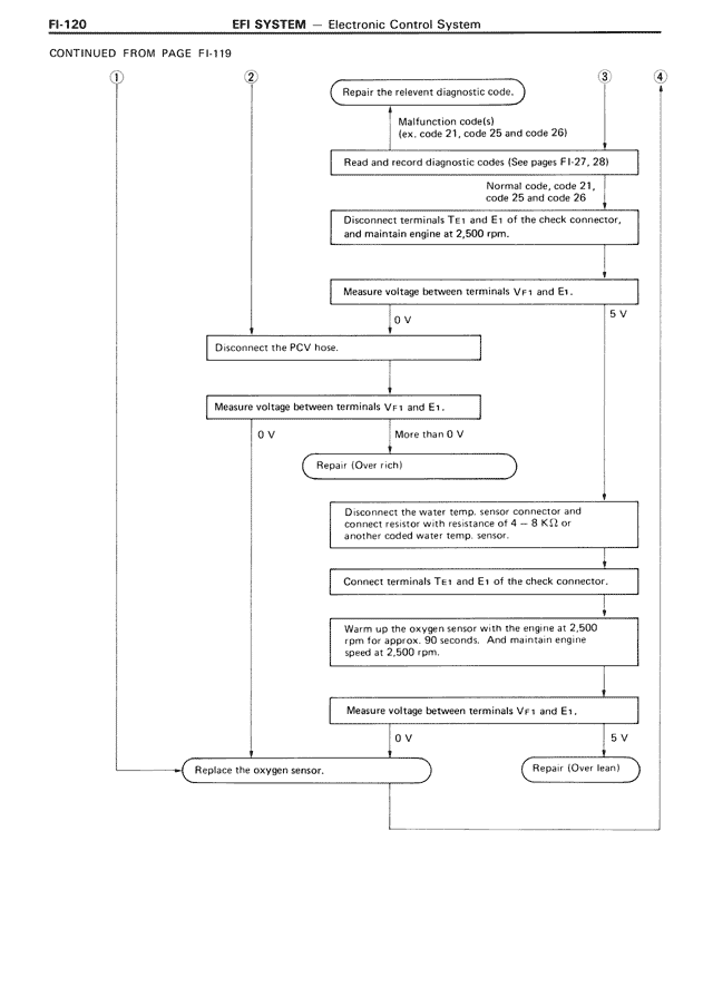
CONTINUED FROM PAGE FI-119
1
2
3
4
Repair the relevant diagnostic code.
Malfunction code(s)
(ex. code 21, code 25 and code 26)
Read and record diagnostic codes (See pages FI-27, 28)
Normal code, code 21,
code 25 and code 26
Disconnect terminals TE1 and E1 of the check connector,
and maintain engine at 2,500 rpm.
Measure voltage between terminals VF1 and E1.
0 V
5 V
Disconnect the PCV hose.
Measure voltage between terminals VF1 and E1.
0 V
More than 0 V
Repair (Over rich)
Disconnect the water temp. sensor connector and
connect resistor with resistance of 4 — 8 KΩ or
another coded water temp. sensor.
Connect terminals TE1 and E1 of the check connector.
Warm up the oxygen sensor with the engine at 2,500
rpm for approx. 90 seconds. And maintain engine
speed at 2,500 rpm.
Measure voltage between terminals VF1 and E1.
0 V
5 V
Replace the oxygen sensor.
Repair (Over lean)